设为首页加入收藏

手机:13862978163
产品目录PRODUCTS
联系方式CONTACT

地址:启东市汇龙镇中央河中路691号
电话:0513-83325673
传真:0513-83119878
手机:13862978163
邮箱:13862978163@126.com
首页 >> 综合资讯 >> 汽水混合器计算
 
汽水混合器计算

除雾器 | 纤维除雾器 | 高效纤维除雾器  加入时间:2017-8-20 17:48:29  点击:

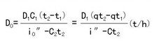
 对于不同型号规格的混合器,为了加热不同温度的热水,在额定流量D1(t/h)下,所需蒸汽量D0(t/h)可由下式计算:
式中:C1—水在t1温度下的比热(KJ/Kg.℃)

  C2—水在t2温度下的比热(KJ/Kg.℃)
t1—进入加热器的水温(℃)
t2—加热后的水温(℃)
i0″—进入加热器在压力Pc下饱和蒸汽热焓(KJ/Kg)
表-Ⅰ及表Ⅱ分别列出开式系统和循环系统在额定进水流量及蒸汽为0.4MPa下,不同加热温度与蒸汽消耗量的关系,供用户选择加热器和复核汽源时参考。(说明:蒸汽压力0.4MPa不一定是加热器运行的工况条件)。

上一页:汽水混合器结构及原理
下一页:汽水混合器蒸汽消耗量表

 

南通沃尔驰石化工程有限公司 地址::启东市汇龙镇中央河中路691号 邮编:226200
电话:0513-83325673 传真:0513-83119878 手机:13862978163
E-mail:13862978163@126.com 除雾器 | 纤维除雾器 | 高效纤维除雾器